J Biol Chem | 张胜男与合作者发现NMNAT广谱性抑制多种神经退行性疾病蛋白的病理聚集
淀粉样蛋白的病理性聚集是许多神经退行性疾病的共同病理特征,例如阿尔兹海默病中的Aβ和Tau,帕金森病中的α-突触核蛋白 (α-syn)等。分子伴侣是蛋白质稳态的重要组成部分, Hsp70、Hsp40和Hsp27等典型的分子伴侣在抑制不同淀粉样蛋白的病理聚集中均发挥重要作用。烟酰胺单核苷酸转移酶(NMNAT)是一种NAD合成酶,在神经退行性疾病中具有神经保护作用。此前已有研究发现NMNAT具有分子伴侣活性,可以识别病理性磷酸化Tau,并抑制其淀粉样聚集及细胞病理毒性。然而目前尚不清楚NMNAT的分子伴侣活性是否具有广谱性,在其他病理蛋白聚集中是否起到调控作用?
2022年4月7日,中国科学院上海有机化学研究所生物与化学交叉研究中心张胜男副研究员(刘聪课题组)与上海交通大学Bio-X研究院李丹课题组合作,在Journal of Biological Chemistry在线发表了题为“The mouse nicotinamide mononucleotide adenylyltransferase (NMNAT) chaperones diverse pathological amyloid client proteins”的研究论文。研究发现NMNAT具有广谱性的分子伴侣活性,可以抑制多种与神经退行性疾病密切相关的淀粉样蛋白的病理聚集,并进一步阐述了NMNAT识别不同淀病理蛋白的分子机制,为理解相应神经退行疾病的致病机制及发展干预策略提供了新思路。
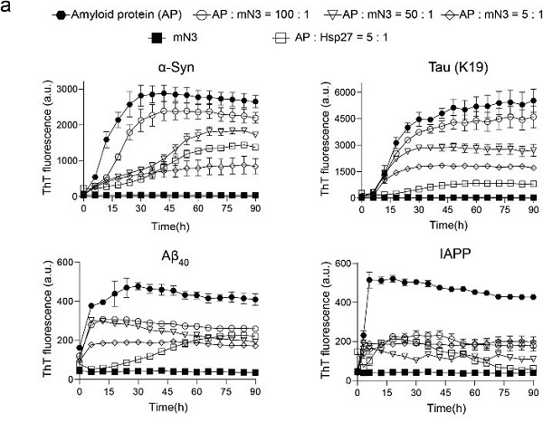
在这项工作中,研究人员首先通过ThT荧光动力学实验发现小鼠NMNAT3(mN3)可以有效抑制多种疾病相关淀粉样蛋白的异常聚集,包括α-syn、Tau(K19)、Aβ40和IAPP(图1)。通过核磁滴定实验,发现mN3直接与α-syn的C端区域发生了相互作用。进一步,交联质谱实验结果表明,mN3通过其高度保守的NAD酶活性底物结合口袋区域识别并结合α-syn。结合突变实验,研究人员发现mN3主要利用其酶活性底物口袋中的正电荷区域与α-syn蛋白带负电荷的C端通过静电相互作用识别结合。同时,疏水相互作用也起到了一定的协助作用。
图1 mN3抑制多种病理淀粉样蛋白的聚集
进一步,通过质谱交联实验表征了mN3与其他不同病理淀粉样蛋白的结合,发现mN3均利用其酶活性底物口袋来结合不同的淀粉样蛋白,但其相互作用区域具有差异性(图2)。此外,研究人员发现对于不同的淀粉样蛋白,mN3不但使用其底物口袋的不同区域参与结合,并且介导mN3与不同淀粉样蛋白结合的相互作用类型也不同。对于α-syn和K19这类有负电荷富集区域的底物蛋白来说,静电相互作用对它们与mN3的结合很重要。对于mN3与Aβ40和IAPP的结合来说,疏水作用则起到更重要的作用。
图2 mN3通不同区域和作用方式识别不同类型的病理淀粉样蛋白
综上,本工作发现了NMNAT具有广谱性的分子伴侣活性,可以通过其酶活底物结合区域识别不同的与神经退行性疾病相关致病蛋白,抑制其病理性聚集。揭示了NMNAT识别及结合不同底物病理蛋白的分子机制。本工作对于阐明NMNAT分子伴侣活性如何发挥神经保护作用提供了分子机理,为神经退行性疾病预防和治疗药物研发提供了新思路。
本文连接:https://linkinghub.elsevier.com/retrieve/pii/S0021925822003520
附件下载: